什么是逸散波?
发布时间:2023-06-12 点击次数: 0
衰减波是仅在不同折射率的两种材料之间的边界或界面附近存在的电磁波,也称为近场波或隧道波。当一束光照射到两种材料的界面时,部分光被反射,另一部分则穿透。穿透的光在界面处形成衰减波,该波随着距离界面的增加而呈指数衰减。这些震荡波在特别是发生全内反射的表面上可深入数十纳米。衰减波在许多应用中都非常重要,例如光学显微镜、光学通信和表面等离子体共振传感。
当电磁波在介质中传播时,会产生衰减场。衰减场的特征是随着距离边界的增加,幅度呈指数衰减,且在远场无法观察到,因为其幅度衰减得过快。电磁场仅存在于介质的边界附近。它并不独立于入射和反射场存在,而是仅满足电磁边界条件。理解不同折射率材料界面上光的行为时,它们是非常重要的,例如在光学波导和谐振腔中。这种波场也发生在光学和其他类型的电磁辐射、声学和量子力学的背景下。
衰减波的能量被局限在边界附近的小区域内。与传播波相比,它们的幅度随着距离边界的增加而呈指数衰减。它们不参与能量的辐射转移,并且是麦克斯韦方程的非正弦解。衰减场的存在在光纤中具有重要意义,光纤中的光通过全内反射被限制在一根细玻璃纤维中。
当光场通过折射率高于周围介质的介质传播时,部分光线在大于临界角的角度从界面(内部)反射,导致发生全内反射。
入射角和折射角之间的关系由斯涅尔定律给出,
n1 = 低折射率介质
n2 = 高折射率介质
θi = 入射角
θt = 透射角
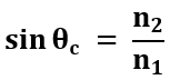
入射波刚好擦过边界的角度称为临界角,θc
如果 θi = θc,则 θt = 90°
如果 θi > θc
因此 θr 是一个不存在的虚构折射角。
在这里,
因此,入射光完全反射回其原始介质。当在第一介质中完全反射入射波时,没有部分波传播到第二介质。这在界面处表示电磁场的间断。然而,麦克斯韦的边界条件不允许在界面处存在间断。换句话说,介质外部的场不可能为零。相反,必须存在某种不传播且在界面法向上迅速衰减的电磁场。
衰减波不会因其传播的介质而失去能量,除非在介质中被吸收。因此,反射波的能量等于入射波的能量。根据能量守恒,不能有传播的透射波,因为这必然会将能量转移出介质。
衰减波可以通过波矢来数学表征,其中一个或多个矢量的分量具有虚值。电场可以描述为
E0是沿着界面的波传播
Ei(Kx x̂ - iωt) 是波的时间依赖性
e-Keva ẑ是沿着界面传播的波幅度的指数衰减
上述方程描述了波沿着边界方向在x方向的传播。
电磁能量的净流动由平均普因廷矢量给出,该矢量为零。
衰减波的偏振取决于入射波。
光纤
在光纤中,光在接近临界角的角度反射,并且大部分功率延伸到包层介质中。延伸的功率实际上是衰减波。衰减波被用来实时探测特定表面识别事件。它在光纤生物传感器中应用,该传感器利用全内反射的概念。在光纤中,光通过反复反射包层-核心界面而在光纤中传输。渗透深度描述了衰减场超出核心-包层界面的延伸距离。该距离在核心-包层界面处减少到其值的1/e。
渗透深度由以下方程给出:
其中x是从光纤核心开始的距离,x = 0在核心-包层界面处,E0是界面处场的大小
dp是渗透深度。
衰减波的应用
衰减波在光纤及其他领域具有重要应用,包括:
- 光学显微镜:全内反射荧光显微镜利用衰减波研究生物样品的表面特性
- 化学传感:用于显微镜照亮小物体,例如生物细胞或DNA分子。
- 表面等离子体共振:在共振入射角下激发表面等离子体
- 用于光子和纳米光子设备,以采样波导外的体积进行传感
- 衰减波耦合和传感器
衰减波耦合
衰减波耦合是一个术语,用于描述电磁波如何通过衰减的电磁场从一个系统耦合并发送到另一个系统。为了实现耦合,两个或多个电磁元件,例如光学波导、谐振腔、天线等,被放置得很近。这最小化了由一个电磁元件产生的衰减场在到达另一个元件之前的衰减时间。衰减场在波导中创建传播波模式。这些模式将波从一个波导耦合到下一个,只要接收波导能够支持适当频率的模式。
在量子力学和光学中,衰减波与量子隧穿现象相关。它是波函数的障碍穿透。
衰减波传感器
衰减波传感器是光纤传感器,通过检测靠近传感器表面的材料的折射率变化来工作。在这些传感器中,光通常沿着波导的表面引导,例如光纤或平面波导,以获得足够的灵敏度。当一个折射率高于波导的材料靠近波导表面时,衰减波会扩展到该材料中。与材料的相互作用导致引导光的强度或相位发生变化。可以测量这种变化以确定材料的特性,例如其折射率、厚度或与特定分子的结合亲和力。
这种传感器的主要问题是衰减场与待测量(测量量)之间的低相互作用。在波导方面,相互作用与包层中的渗透深度成正比。该深度与光纤的光学几何参数有关,这些参数在标准化频率‘V’中总结。‘V’值越高,衰减场中的渗透越深。
在这些传感器中,光纤的保护塑料外套已被去除,包层通过抛光或化学方法减薄。因此,通过仔细选择操作波长,检测化学物质变得简单。可以通过衰减波的吸收来检测测量量,产生泄漏并调制光强度。
特殊光纤,如D型光纤或微结构光纤,用于增加与衰减场的相互作用。还可以通过加热光纤至软化温度然后拉伸来锐化光纤。通常会调整包层的厚度,选择较薄或较厚的层,以适应被检测物质的光学特性变化。这种修改直接影响衰减波的行为,衰减波对周围介质的特性非常敏感。
衰减波传感器的应用
衰减波传感器通常用于生化传感应用,例如在样品中检测特定生物分子的存在,以及环境监测和工业过程控制。
- 生物传感:这些传感器常用于无标记检测生物分子,例如蛋白质、DNA和小分子。它可以检测由于目标分子与传感器表面特定受体结合而导致的样品折射率变化。
- 环境监测:用于检测和测量水、空气和土壤中的各种污染物和污染物。它们还可以检测样品的化学成分变化,例如pH、温度和湿度。
- 工业过程控制:实时监测工业过程,例如食品和饮料行业、制药制造和石油天然气勘探。传感器可以检测过程介质成分的变化,例如特定化学物质的浓度或杂质的存在。
- 医学诊断:用于早期检测和诊断癌症和传染病。它可以检测血液、唾液或尿液中特定生物标志物浓度的变化,这些变化表明疾病或感染。




















