什么是V数?
发布时间:2023-07-28 点击次数: 0
V数,用V表示,是一个无量纲参数,广泛应用于光纤和光波导技术。它通过光纤的核心半径与其数值孔径 (NA)的比值来计算。V数提供了关于光纤有效捕获和传输光线能力的重要信息。
V数也被称为“归一化频率”,因为它表示通过光纤或光波导传播的光的频率,以归一化或无量纲的形式表示。V数或归一化频率可以使用以下公式计算:
其中,NA表示数值孔径,a表示光纤核心的半径。
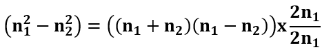
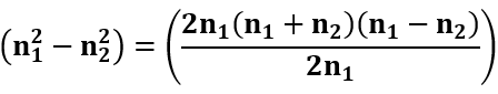
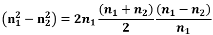
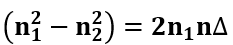
对于阶跃折射率光纤,
取,
乘以和除以2 n1,
代入V数的公式,
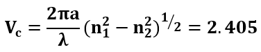
其中,a是光纤核心的半径,λ是自由空间波长,n是核心和包层的平均折射率,即n=(n1+n2)/2,∆是归一化的折射率差,即
V数与核心半径成正比,这意味着随着核心半径的增加,V数也会增加,而当核心半径减小时,V数会减小。因此,随着通过减小核心尺寸来降低V数,最终会达到大约2.405的临界值。
当V数小于2.405时,只有一个模式,即基本模式(LP01)可以通过光纤核心传播。进一步减小V数时,光纤仍然可以支持LP01模式,但该模式会越来越多地延伸到包层中。有限的包层尺寸可能导致波中的部分功率损失。设计为仅允许在所需波长下传播基本模式的光纤称为单模光纤 (SMF)。通常,单模光纤的核心半径比多模光纤 (MMF)小得多,且∆也较小。如果源的波长λ减少到足够低,单模光纤将变为多模光纤,因为V将超过2.405;更高的模式也会有助于传播。单模光纤的截止波长λc为,
当V参数超过2.405时,模式数量急剧上升。阶跃折射率多模光纤中模式数量M的良好近似为:
V数的重要性
- 光收集效率:较高的V数对应较大的数值孔径,表示从不同角度收集光的能力更强。这在光纤传感器和低功率光学系统等应用中尤为重要,因其需要高效的光收集。
- 模态色散:V数影响光在光纤中的传播特性,从而影响模态色散。较高的V数可能导致模态色散增加,限制光纤的数据承载能力和传输距离。
- 光纤耦合:V数决定了光纤与光学元件之间的匹配标准。V数的正确对齐对于有效耦合和减少连接点的损失至关重要。
- 光纤类型和应用:不同的V数对应不同的光纤类型,如单模光纤(SMF)或多模光纤(MMF)。每种光纤类型具有独特的特性,适用于特定的应用,包括电信、数据传输和光纤传感。
优化V数以提高性能
- 单模光纤:对于长距离、高带宽应用,优选V数较低的单模光纤,因为它们能够最小化模态色散并提供更好的传输特性。
- 多模光纤:V数较高的多模光纤适合短距离通信,如局域网(LAN)或数据中心,在这些场合中模态色散可以有效管理。
- 特种光纤:为特定应用(如传感或高功率传输)设计的特种光纤可能具有定制的V数要求,以满足这些应用的独特需求。












